CIE光源显色指数的计算方法
CIE推荐定量评价光源显色性的“测验色”法规定用黑体或标准照明体D作为参照光源,将其显色指数定为100,并规定了若干测试用的标准颜色样品;通过在参照光源下和待测光源下对标准样品形成的色差,评定待测光源显色性,用显色指数值来表示。光源对某一种标准样品的显色指数称为特殊显色指数
光源的一般显色指数愈高,其显色性就愈好。需要附加说明几点:
1. 参照照明体的选择
当待测光源的相关色温低于5000K时,选择黑体作为參照照明体,其色温可根据待测光源的相关色温选取。当待测光源的相关色温高于5000K时选择标准照明体D重组日光. 作为参照照明体,其色温也是根据待测光源来选取。待测光源与参照照明体应具有相同或近似相同的色品坐标,色品差△C小于5.4X103。

參照照明体黑体以及标准照明体D的光谱分布,均可按前面介绍的方法确定。
2. 颜色样品
CIE选择了14种颜色样品作为计算光源显色指数的标准样品。附表2-14给出1~15号样品的光谱辐亮度因数。其中,1~8号样品是中等饱和度、中等明度的有代表性色调的样品,计算一般显色指数R,时只能用 1-8做试样,求得的R值表示待测光源的色显现对参照照明体色显现的平均偏离。9~14号样品的光谱辐亮度因数,这些样品包括饱和度较高的红、黄、绿、蓝以及欧美人的皮肤色和树叶绿色。考虑到第13号色样是欧美女性的面部肤色,1984年在我国制定的光源显色性评价方法的国家标准中,增加了我国女性面部的色样,作为第15 种试样列入附表2-14中。计算特殊显色指数R,时可选择15种祥品中任何一种。
3. 色适应色品位移的修正
由于待测光源和参照照明体的色品不完全相同,而使视觉在两种不同光源照明下受到颜色适应的影响。为了处理两种光源照明下的色适应,必须将待测光源的色品坐标uK,VK,调整为参照照明体的色品坐标ur,Vr

式中,下标“r”代表参照照明体;“k”代表待测光源;“k,”代表待测光源照明下第种标准样品。在计算显色指数时,用调整后的色品坐标来计算。
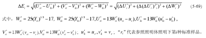
4. 色差△Ei的计算
乐盈llVCIE规定以CIE 1964 W*U*V*色差公式来计算

△Ei的单位为NBS色差单位。显色指数用整数表示四舍五入。特殊显色指数Ri的1分(1%)等于0.22NBS色差单位,Ri的5分大约为1个NBS色差单位。例如一个光源的Ri=90时,表明在该光源与参照照明体下,第i种颜色样品的颜色改变量约为2个NBS色差单位;Ri=100时,改变量为零。

5. 光源色温、相关色温的确定
乐盈llV为计算光源的显色指数,需要确定待测光源的色温或相关色温。当知道待测光源的光谱分布后,可确定出光源的色品坐标x,y以及u,v。若光源的色品坐标点位于以麦尔德MRD为单位的两条相邻等温线M1和M2之间,则可用内插法求得光源的相关色温。
乐盈llV设d1为光源坐标点到等温线M1的距离,d2为到等温线M2的距离。则光源的相关色温近似值由下式计算
乐盈llV为简化计算,CIE给出各种色温的黑体及标准照明体D的色品坐标以及在它们照明下14种样品的W*,U*,V*值,可直接查表确定数据。
常用光源的一般显色指数
乐盈llV结合我国实际情况,可将光源的一般显色指数划分为三个范围表 。

白炽灯、碘钨灯、溴钨灯、镐灯等几种光源的一般显色指数Ra均超过85,适用于辨色要求较高的视觉工作,如彩色电影、彩色电视的拍摄和放映、染料、彩色印刷、纺织、食品工业等待业。荧光灯的显色指数在70~80之间,显色性较好,用于一般辨别颜色的视觉工作。高压汞灯、高压钠灯的显色指数低于50,显色效果较差,其中高压钠灯最差Ra为20~25.
由于显色指数只表示待测光源下标准样品产生色位移的大小,未指出色位移的方向。故即使两个具有相同R的光源,只要色位移的方向不同,在视觉上样品的颜色也会不相同。不同的光源可能具有相同的显色指数,但并不表明各种灯之间一定可互相代替使用。
同类文章排行
- 对色灯箱的正确使用方法
- 使用标准光源箱检测服装色差
- 如何使用对色灯箱管理面料颜色
- 标准光源箱中灯管的使用寿命
- 关于对色灯箱的光源问题的介绍
- TILO天友利商标成功维权公告
- 天友利对色灯箱畅销多年的奥秘
- Tilo标准光源箱畅销全国的原因
- 观察颜色为什么需要标准光源?
- 对色灯箱如何正确操作和对色
最新资讯文章
- 一般显色指数与特殊显色指数的主要区别
- CWF光源色温是多少?显色指数是多少?
- 光源照度分级体系和照度范围标准
- 标准光源显色指数标准与应用指南
- 烟叶分级实验室建设必读:YC/T 291-2009标烟叶分级实验室建设必读:
- 室内工作场所光源色温选择指南
- 印刷行业控色标准光源:YSL D65/D50 LED光源
- 室内工作场所照明亮度分布标准与要求
- 烟叶分级灯怎么选?(YC/T 291-2009)标准款,精准合规不踩坑
- 光源色:发光体的色彩本质与特性解析
- 标准光源箱安装指南:安装步骤和注意事项
- TL84光源:欧洲与东亚市场的商业对色基准
- 标准光源显色指数的等级换分和应用
- CWF光源:北美商业照明下的色彩质检基准
- 显色性和显色指数的对比——色彩还原能力
- A光源是什么光源?A光源的行业应用和使用方法
- 银行照度标准详解:营造安全高效的光环境
- 光源显色性的评价方法
- CIE 1931 标准色度观察者色匹配函数
- 商场照度标准与测量方法全解析商城





