如何评价LED光源你质量?LED光源的光学参数
LED光源是目前市场上的主流光源,具有节能环保、使用寿命长等优点,深受喜爱。那么,如何评价LED光源你质量呢?本文从LED光源的光学参数的角度进行了角度总结。

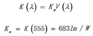
1. 视见函数
乐盈llV视见函数是用来反映人眼对不同波长的光的敏感程度的物理量。人眼对光辐射的敏感程度不仅与辐射强度有关,也与辐射波长有关。在可见光范围内,人眼对555nm波长的黄绿光最敏感,对红光和紫光的敏感程度最差。用V(λ)表示,计算方法如下所示:

2. 辐射通量
乐盈llV单位时间内的辐射能量就是辐射通量。辐射通量反映的是辐射能力的强弱。用符号Фe表示。单位瓦特(W)。
3. 光通量
光通量(luminous flux)是指人眼所能感受到的辐射功率,用Ф表示。光通量Ф与辐射通量Фe成正比,如下式所示:

乐盈llVKm被称为最大光谱光视效能。
4. 显色指数
光源显色指数是衡量光源质量的标准之一。光源的显色根据其效果的差异被分为忠实显色和效果显色两种,忠实显色就是能使人眼分辨出物体的真实颜色。效果显色能够对特定的色彩进行渲染,加强其色彩中蕴含的情绪,给人带来更加丰富的视觉效果和体验。当光源在照射在物体上时,显色指数越高,表明这种光可以很好的表现物体本身的颜色;而在显色指数低的光源下,物体的颜色与物体原本的颜色相差很大。显色指数的优劣通常是由光源的光谱来决定的。光谱可以决定光源的颜色,然而同样光色的光源可以由不同颜色的光谱组成。因此即使是相同颜色的光源,其光谱不同,显色性也是不同的。通常只有光谱成分复杂的光源才有较好的显色性,若颜色单一,其显色性差。
5. 色温
乐盈llV色温是用来定义光源颜色的物理量。在生活中,不同色温的光源可以给我们带来不同的心理感受,营造不同的环境氛围,许多场景对光源的色温有一定要求。通常将色温小于3300K的光源称为暖光源,将色温在3000-5000K之间的光源称为中间光源,色温大于5000K的光源为则为冷光源。对于LED灯光,暖白光光源的色温约为3000-3200K,正白光光源的色温在6000-6500K间,冷白光光源的色温一般在8000K以上。
6. 发光效率
发光效率又称光效,是指一个光源的光通量与光源的电功率的比值,由于人类对不同波长光的敏感度不同,即使两种不同波长的光有相同的发光效率,但是人眼感知的亮度不同。发光效率可以反映这样的差别。发光效率是衡量光源性能的指标,目前LED的发光性能已经超过白炽灯,但还没有达到荧光灯的水平。
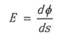
7. 光照度
光照度指的是被照物体表面单位面积上的光通量,光照度的单位是勒克斯(lx),1lx=1lm/m2,使用光照度来表示物体表面被照明程度。表达式为:

8. 亮度
亮度是指发光体或者反光体表面在单位投射面积、单位立体角内的光通量。定义亮度单位是坎德拉/平方米(cd/m2),公式为:上式中的Ω是立体角,Φ是光通量,θ是指定方向与单位面积法线的夹角。亮度是反映发光体(反光体)表面发光(反光)强度的物理量。由于朗伯光源是一种各向同性光源,所以观察者在空间内各个方向观察的亮度相同。

同类文章排行
- 对色灯箱的正确使用方法
- 使用标准光源箱检测服装色差
- 如何使用对色灯箱管理面料颜色
- 标准光源箱中灯管的使用寿命
- 关于对色灯箱的光源问题的介绍
- TILO天友利商标成功维权公告
- 天友利对色灯箱畅销多年的奥秘
- Tilo标准光源箱畅销全国的原因
- 观察颜色为什么需要标准光源?
- 对色灯箱如何正确操作和对色
最新资讯文章
- 一般显色指数与特殊显色指数的主要区别
- CWF光源色温是多少?显色指数是多少?
- 光源照度分级体系和照度范围标准
- 标准光源显色指数标准与应用指南
- 烟叶分级实验室建设必读:YC/T 291-2009标烟叶分级实验室建设必读:
- 室内工作场所光源色温选择指南
- 印刷行业控色标准光源:YSL D65/D50 LED光源
- 室内工作场所照明亮度分布标准与要求
- 烟叶分级灯怎么选?(YC/T 291-2009)标准款,精准合规不踩坑
- 光源色:发光体的色彩本质与特性解析
- 标准光源箱安装指南:安装步骤和注意事项
- TL84光源:欧洲与东亚市场的商业对色基准
- 标准光源显色指数的等级换分和应用
- CWF光源:北美商业照明下的色彩质检基准
- 显色性和显色指数的对比——色彩还原能力
- A光源是什么光源?A光源的行业应用和使用方法
- 银行照度标准详解:营造安全高效的光环境
- 光源显色性的评价方法
- CIE 1931 标准色度观察者色匹配函数
- 商场照度标准与测量方法全解析商城





