标准光源的色温是多少?如何计算标准光源的色温?
色温对于标准光源的重要性不言而喻,它是光源质量的重要评价标准。那么,标准光源的色温是多少?如何计算标准光源的色温呢?本文进行了简单总结。

标准光源的色温是多少
乐盈llV标准照明体和标准光源是为使光辐射测量标准化而引入的概念。CIE规定的标准光源有A,B,C,D65,E光源。有了色温和相关色温的概念,表示光源的特性将非常方便。如:
A光源:色温为2845K,相当于白炽灯在2800K时辐射出的光。
B光源:相关色温为4800K,相当于中午直射的日光。
C光源:相关色温为6700K,相当于白天的自然光,它的蓝色成分较多。
D65光源:相关色温为6500K,相当于白天平均光照,近年来,常被用作彩色电视的标准光源。
E光源:又称为等能白光,即光谱功率分布值为常数,它是一种假想而实际并不存在的光源,采用它纯粹是为了简化色度学中的计算。
如何计算标准光源的色温
色温或相关色温的定义是某光源的色度坐标与绝对黑体辐射在某一温度下的色度一样,则这一温度称为某光源的色温。一般情况下,光源的色坐标在色度图上不一定准确地落在绝对黑体轨迹上,所以只能用光源与黑体轨迹最近的颜色来确定该光源的色温,称为相关色温。光源色温的经验公式为:
乐盈llV其中A=(x-0.329)/(y-0.187)。
色温在照明领域是一个非常重要的概念,也是评价光源色度特性的一个重要参数。色温的概念来自于黑体辐射,只有接近于黑体辐射的发光体讨论色温才有意义,对应一个具体的光源来说,它的色坐标位置只有接近色品图中的Planck轨迹,这时讨论色温才有意义,色品图中的Planck轨迹是不同色温的黑体辐射发光体所对应的色坐标在色品图上形成的一条曲线,人们把这条曲线称之为Planck轨迹,见下图所示。

在某一特定温度T下,黑体的光谱功率分布可由普朗克公式获得,即:

其中第一辐射c1=2πhc2=3.7418x10-16W·m2;
第二辐射常数c2=hc/k=1.4388×10-2m·K;k为波尔兹曼常数;c为光速。
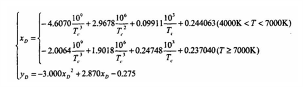
根据已知黑体的光谱功率分布公式,我们可以求得色坐标与色温的关系表达式,当色温大于5000K时,CIE推荐用日光轨迹代替黑体轨迹,而日光轨迹的色品坐标为:

乐盈llV式中,xD的有效范围为0.250~0.380。
同类文章排行
- 对色灯箱的正确使用方法
- 使用标准光源箱检测服装色差
- 如何使用对色灯箱管理面料颜色
- 标准光源箱中灯管的使用寿命
- 关于对色灯箱的光源问题的介绍
- TILO天友利商标成功维权公告
- 天友利对色灯箱畅销多年的奥秘
- Tilo标准光源箱畅销全国的原因
- 观察颜色为什么需要标准光源?
- 对色灯箱如何正确操作和对色
最新资讯文章
- 一般显色指数与特殊显色指数的主要区别
- CWF光源色温是多少?显色指数是多少?
- 光源照度分级体系和照度范围标准
- 标准光源显色指数标准与应用指南
- 烟叶分级实验室建设必读:YC/T 291-2009标烟叶分级实验室建设必读:
- 室内工作场所光源色温选择指南
- 印刷行业控色标准光源:YSL D65/D50 LED光源
- 室内工作场所照明亮度分布标准与要求
- 烟叶分级灯怎么选?(YC/T 291-2009)标准款,精准合规不踩坑
- 光源色:发光体的色彩本质与特性解析
- 标准光源箱安装指南:安装步骤和注意事项
- TL84光源:欧洲与东亚市场的商业对色基准
- 标准光源显色指数的等级换分和应用
- CWF光源:北美商业照明下的色彩质检基准
- 显色性和显色指数的对比——色彩还原能力
- A光源是什么光源?A光源的行业应用和使用方法
- 银行照度标准详解:营造安全高效的光环境
- 光源显色性的评价方法
- CIE 1931 标准色度观察者色匹配函数
- 商场照度标准与测量方法全解析商城





